Skip to content
Northern Ireland Fungus Group
Learn all about fungi in Northern Ireland
Menu
Home Page
NI Fungus Group
NIFG News
What we do
Forays
NIFG Photos
NIFG Photo Gallery
Newly Added Photos to the Gallery
Joining Our Group
Contact us
Waxcaps
Grassland Fungi
Irish Waxcaps
Ireland - All Data
Calculating CHEGD scores
Irish Overall Site Rankings
Irish Grassland Fungi Sites Map
Site Photos
Irish Grassland Fungi Statistics
Irish Species Ranking
Records by Vice County
Phenology
Irish Churchyards
Threshold Analysis
WaxcapIreland
WaxcapIreland Results 2025
2025 Species Recorded
2025 Site Rankings
Key Finds – Fairy Clubs
Key Finds – Pink Gills
Key Finds – Waxcaps
Key Finds – Earth Tongues
Key Finds – Crazed Gills
Key Finds – Non-CHEGD
Species to Look Out For
Special Fairy Clubs
Special Waxcaps
Special Entolomas
Special Earth Tongues
Special Crazed Caps and allies
Welsh Waxcaps
Recording and Data
NI Atlas of Fungi
History of Fungi Recording in Northern Ireland
DNA Extraction and Sequencing
Recording Tips
Collecting and Drying Fungi
Statistics from the Database
Miscellaneous
NIFG Downloads
Web Links
Winter Tree ID
Winter Tree ID 1
Winter Tree ID 2
Winter Tree ID 3
Winter Tree ID 4
Winter Tree ID 5
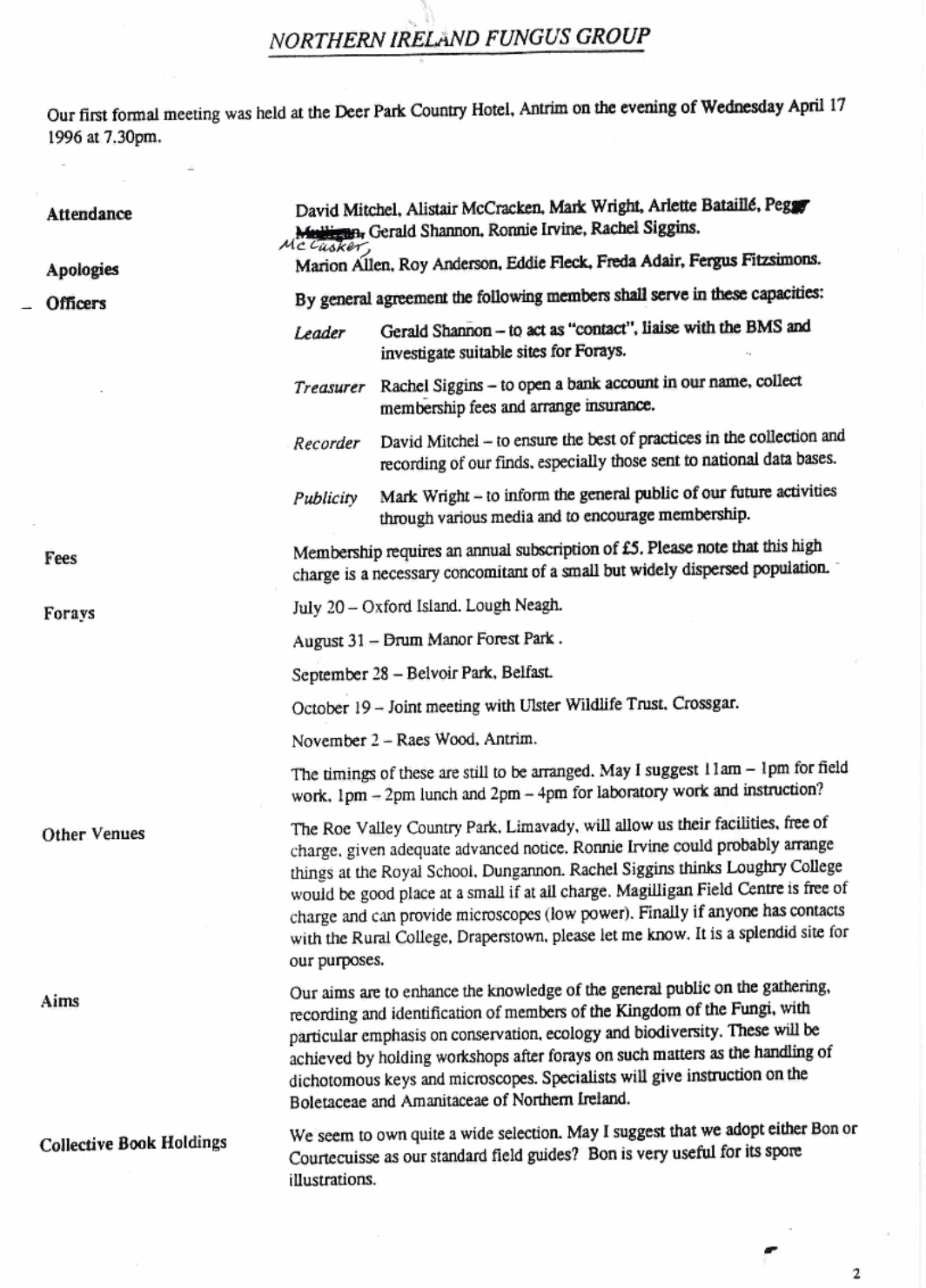
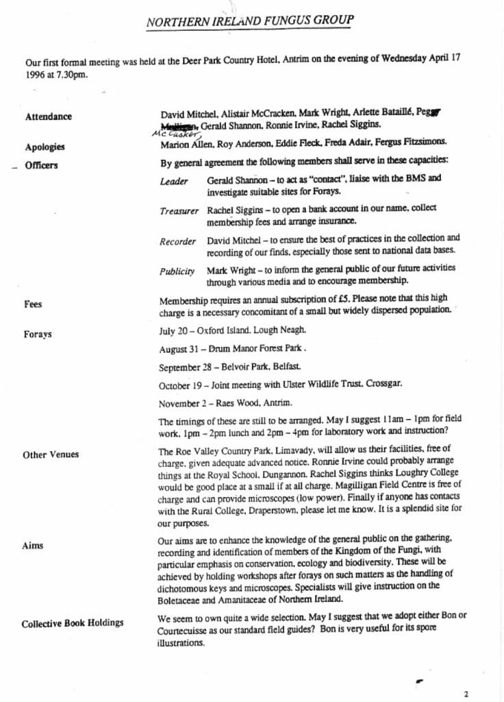
NIFG First Meeting